Pharma Research
Information Management Research
Diversity Selection of Reactants (Procedure)
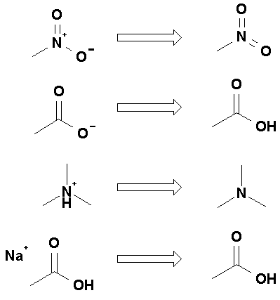
Standardize compounds
Convert dipolar bonds to double bonds
Protonate negative hetero atoms
Deprotonate positive hydrogen bearing hetero atoms
Remove minor fragments like counter ions.
Create set of compounds from full set A and
randomly select n compounds from S.
Compute a strain measure for each of the
n
compounds
with respect to the
|A|+n-1
other compounds in the set.
Repeatedly cycle through the unselected set of compounds in S and do the following:
Select next compound C and add to selected list
Update strains of set of n+1 compounds
Remove compound with largest strain
Downdate strains of remaining n compounds
When the total strain did not improve for a full cycle or
if the maximum number of cycles is exceeded, then stop.
Demo (Mock-up, not real)